Psyc707 - Resources
Professor Frank Schieber, Heimstra Human Factors Laboratories, University of South Dakota


Minolta CS-100A Photometer   Minolta XY-1 Lux/ColorTemp Meter   Minolta TL-1 Lux Meter  Fluorilon Reflectance Standard
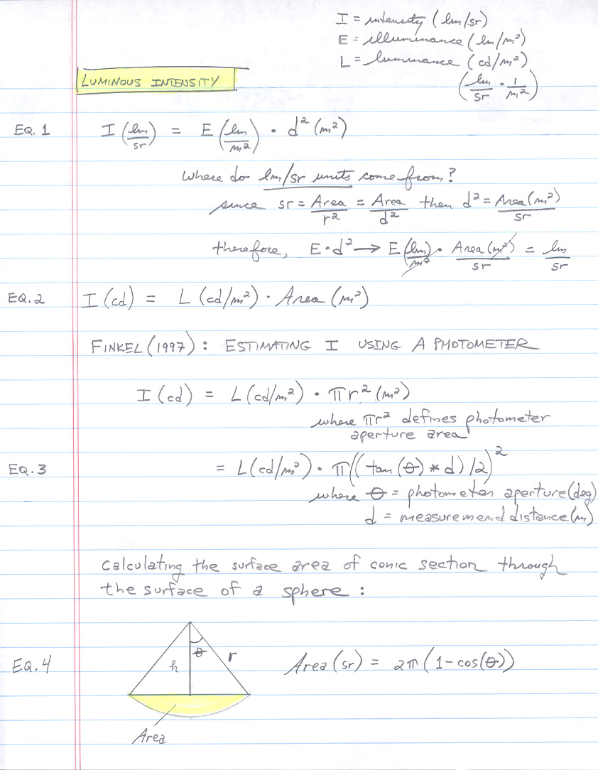
Finkle(1997)  Illuminance Formulas  Intensity-Formulas   Conservation of Luminance
Luminosity Functions   LEDs   Color FAQ
Image Formation by Lenses 
Olfactory Transduction

Adding Decibels   What's a decibel?


USD Home Page - Psychology Home Page - Prof Schieber's Home Page